Wird geladen ...
Druckschrift
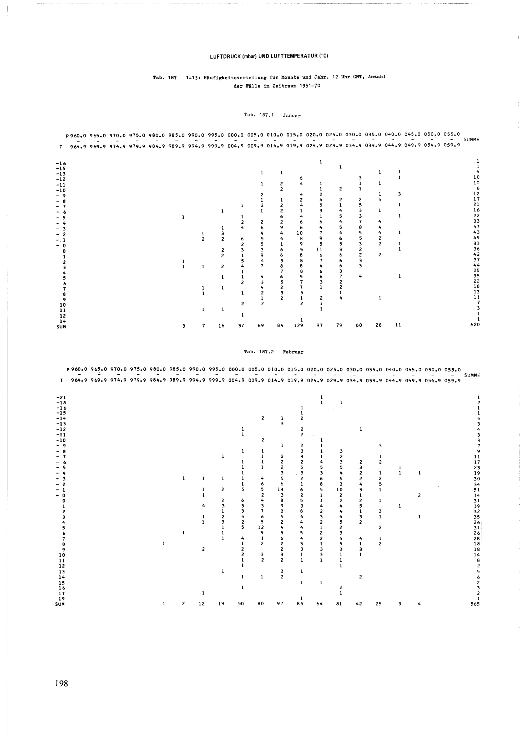
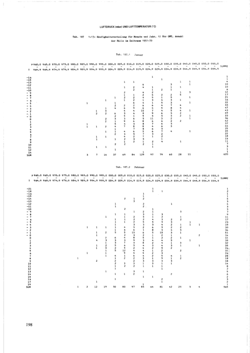
Das Klima ausgewählter Orte der Bundesrepublik Deutschland : München ; statist. Auswertungen u. Erl. für Zwecke d. angewandten Klimatologie ; 186 Tab. / von Peter Jochen Schäfer
Entstehung
Offenbach a.M. 1982
Seite
198
Einzelbild herunterladen
verfügbare Breiten