Startseite
Sammlungen
Listen
Clouds
Kontakt
METLIS+
DWD
EN
RSS
Datenschutz
Barriere melden
Startseite
Sammlungen
Listen
Clouds
EN
Titel
Titel
Inhalt
Inhalt
Übersicht
Thumbs
Seite
Seite
Im Dokument suchen
Monatskarten des Niederschlags für die ganze Erde
5. Die Berechnung globaler Niederschlagsbilanzen aus den gewonnenen Gitterpunktw...
2
Impressum
3
Inhaltsverzeichnis
5
Zusammenfassung
5
Abstract
6
1. Die Entwicklung globaler Niederschlagskarten
9
2. Die Entwicklung globaler Niederschlagsbilanzen
11
3.1. Die Bestimmung der Niederschläge
11
3.1.1.Gewinnung von Gitterpunktwerten der Kontinentalniederschläge
12
3.1.2.Gewinnung von Gitterpunktwerten der Meeresniederschläge
12
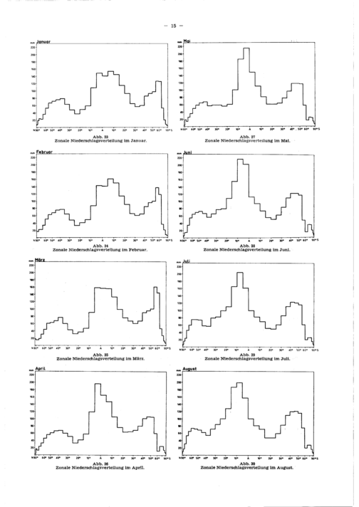
4. Die Konstruktion globaler Karten des mittleren Monatsniederschlags und einer neuen Karte des mittleren globalen Jahresniederschlags
14
5. Die Berechnung globaler Niederschlagsbilanzen aus den gewonnenen Gitterpunktwerten
25
6. Vergleich der Niederschlagswerte von BROOKS/HUNT mit den Werten dieser Arbeit
28
8. Vergleich der Niederschlagswerte von Möller mit den Werten dieser Arbeit
28
9. Weitere Vergleiche
32
10. Die Betrachtung von in Klimamodellen simulierten Niederschlägen aus der Sicht dieser Arbeit
34
11. Einige Bemerkungen zu den Niederschlägen im tropischen Pazifik
36
12. Luftdruck und Niederschläge über Afrika und Südamerika
37
13. Literatur
Wird geladen ...
Druckschrift
Monatskarten des Niederschlags für die ganze Erde : (mit 20 Tabellen im Text) / von Lutz Jaeger
Entstehung
Offenbach a.M.
1976
Seite
15
Rechtsdrehung 90°
Linksdrehung 90°
Einzelbild herunterladen
verfügbare Breiten
JPEG klein
JPEG groß
JPEG größer
Gehe zu Seite
[1]
[2] 2
[3] 3
[4] 4
[5] 5
[5] 5
[6] 6
[7] 7
[8] 8
[9] 9
[10] 10
[11] 11
[11] 11
[12] 12
[12] 12
[13] 13
[14] 14
[15] 15
[16] 16
[17] 17
[18] 18
[19] 19
[20] 20
[21] 21
[22] 22
[23] 23
[24] 24
[25] 25
[26] 26
[27] 27
[28] 28
[28] 28
[29] 29
[30] 30
[31] 31
[32] 32
[33] 33
[34] 34
[35] 35
[36] 36
[37] 37
[38] 38
[39] 39
[40] 40
[41] 41
[42] 42
[43] 43
[44] 44
[45] 45
[46] 46
[47] 47
[48] 48
[49] 49
[50] 50
[51] 51
[52] 52
[53] 53
[54] 54
[55] 55
[56] 56
[57] 57
[58] 58
[59] 59
[60] 60
[61] 61
[62] 62
[63] 63
[64] 64
[65] 65