Startseite
Sammlungen
Listen
Clouds
Kontakt
METLIS+
DWD
EN
RSS
Datenschutz
Barriere melden
Startseite
Sammlungen
Listen
Clouds
EN
Titel
Titel
Inhalt
Inhalt
Übersicht
Thumbs
Seite
Seite
Im Dokument suchen
Kleinskalige Variabilität der Sonnenstrahlung
Abbildungen
2
Impressum
3
Inhaltsverzeichnis
4
Zusammenfassung/Abstract
5
1. Einleitung
6
2. Ausgangsdaten
8
3. Räumliche Korrelation der relativen Globalstrahlung
12
4. Zweidimensionale Häufigkeitsverteilungen der relativen Globalstrahlung
14
5. Einfluß der Windrichtung auf die relative Globalstrahlung
18
6. Räumliche Verteilung der Globalstrahlung
20
Literaturverzeichnis
21
Tabellenverzeichnis
22
Abbildungsverzeichnis
25
Tabellen
29
Abbildungen
Wird geladen ...
Druckschrift
Kleinskalige Variabilität der Sonnenstrahlung : (mit 3 Tab.) / von Reinhard Trapp u. Fritz Kasten
Entstehung
Offenbach am Main
1988
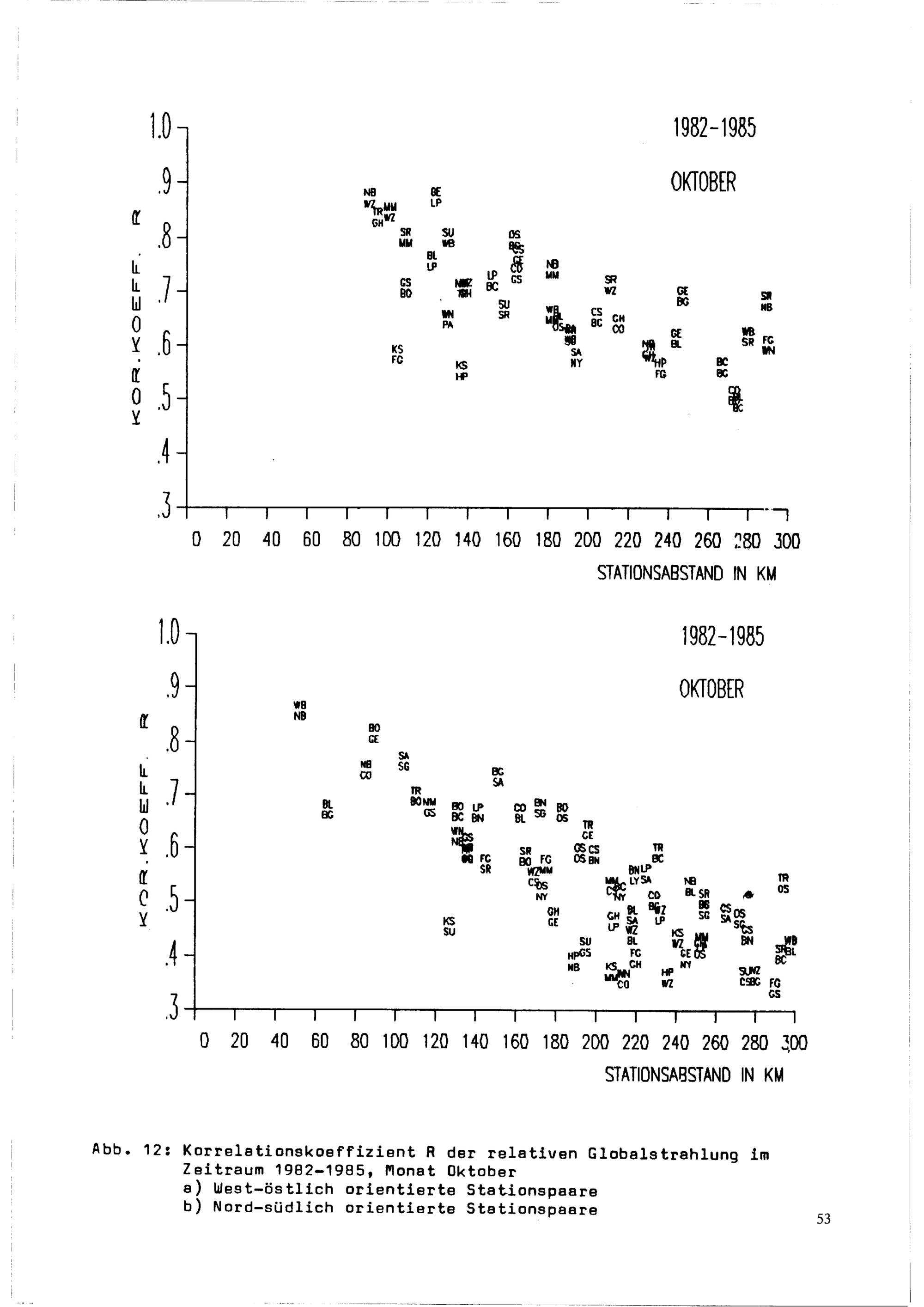
Seite
53
Rechtsdrehung 90°
Linksdrehung 90°
Einzelbild herunterladen
verfügbare Breiten
JPEG klein
JPEG groß
JPEG größer
Gehe zu Seite
[1]
[2] 2
[3] 3
[4] 4
[5] 5
[6] 6
[7] 7
[8] 8
[9] 9
[10] 10
[11] 11
[12] 12
[13] 13
[14] 14
[15] 15
[16] 16
[17] 17
[18] 18
[19] 19
[20] 20
[21] 21
[22] 22
[23] 23
[24] 24
[25] 25
[26] 26
[27] 27
[28] 28
[29] 29
[30] 30
[31] 31
[32] 32
[33] 33
[34] 34
[35] 35
[36] 36
[37] 37
[38] 38
[39] 39
[40] 40
[41] 41
[42] 42
[43] 43
[44] 44
[45] 45
[46] 46
[47] 47
[48] 48
[49] 49
[50] 50
[51] 51
[52] 52
[53] 53
[54] 54
[55] 55
[56] 56
[57] 57
[58] 58
[59] 59
[60] 60
[61] 61
[62] 62
[63] 63
[64] 64
[65] 65
[66] 66
[67] 67
[68] 68
[69] 69
[70] 70
[71] 71
[72] 72