Wird geladen ...
Druckschrift
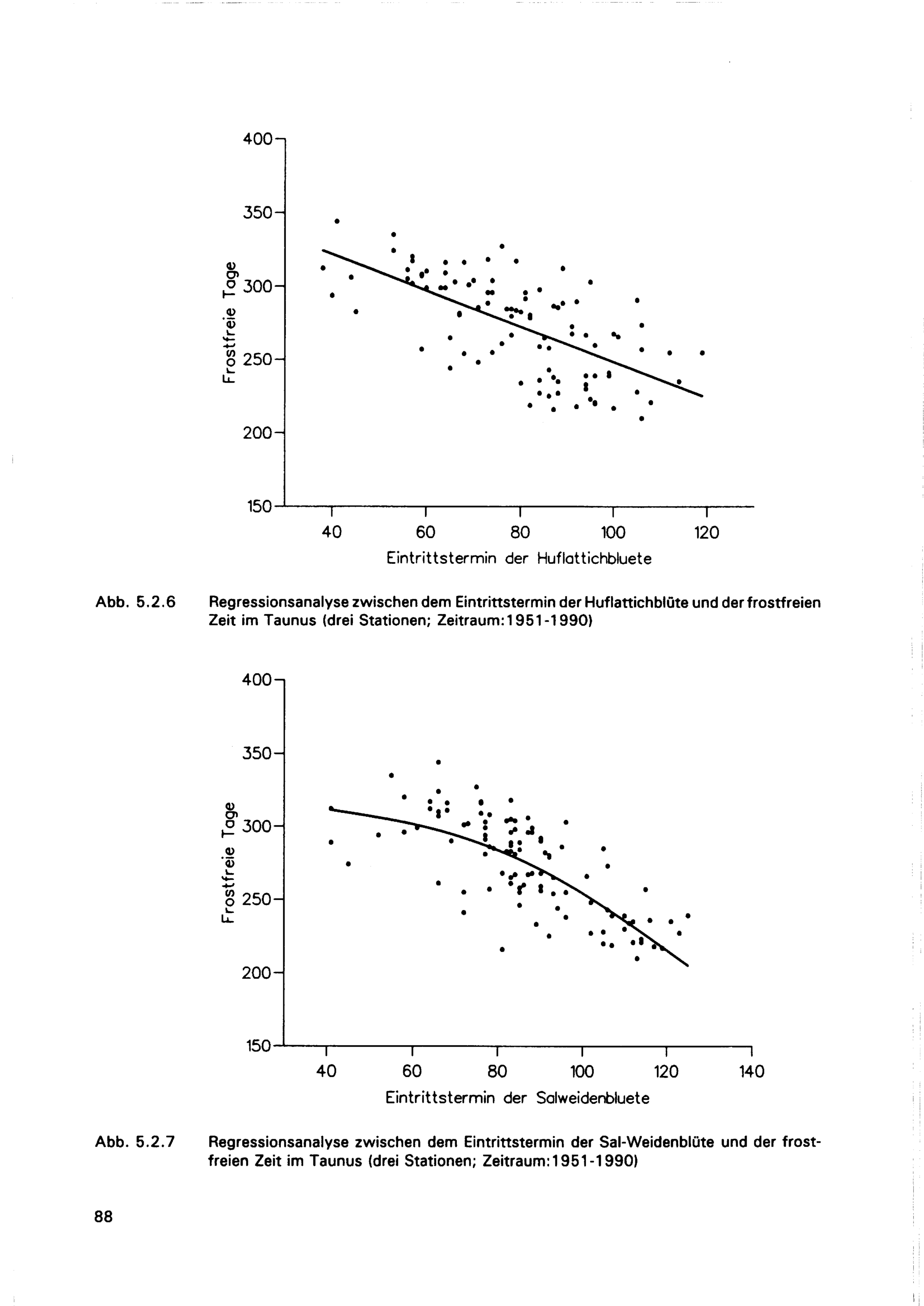
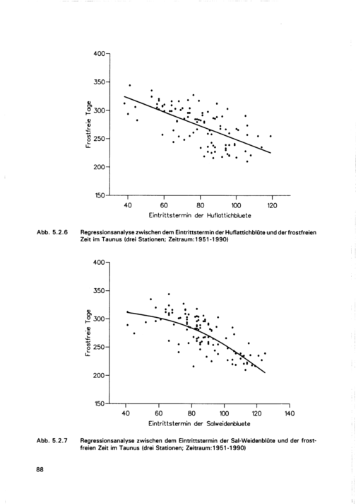
Untersuchung zur zeitlich-räumlichen Ähnlichkeit von phänologischen und klimatologischen Parametern in Westdeutschland und zum Einfluß geoökologischer Faktoren auf die phänologische Entwicklung im Gebiet des Taunus / von Xiaoqiu Chen
Entstehung
Offenbach am Main 1994
Seite
88
Einzelbild herunterladen
verfügbare Breiten