Wird geladen ...
Druckschrift
Wissenschaftshistorische Untersuchungen zur Geschichte und insbesondere zur Datenqualität der langen meteorologischen Reihen des Observatoriums Hohenpeißenberg / von Peter Winkler
Entstehung
Offenbach am Main 2009
Seite
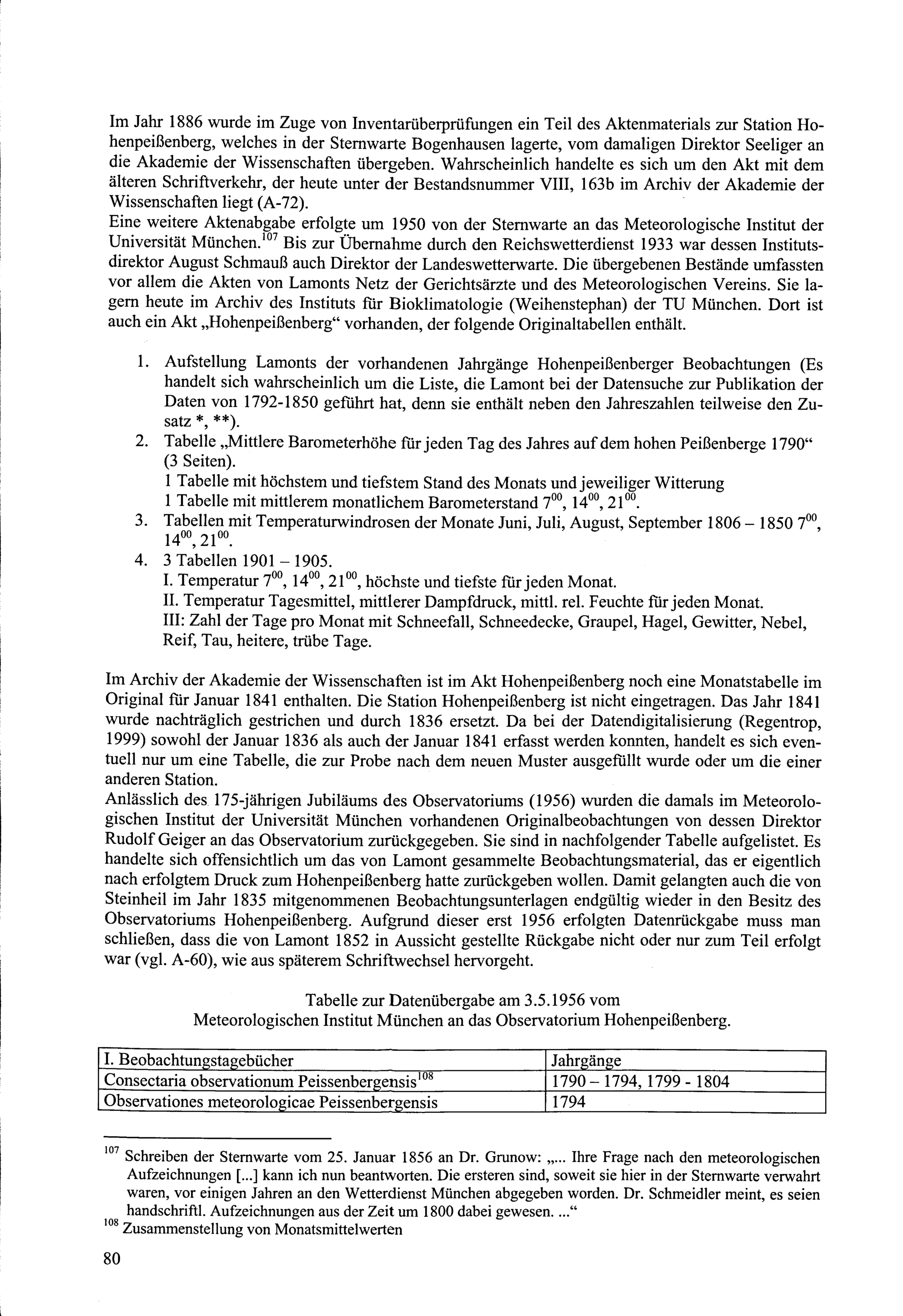
80
Einzelbild herunterladen
verfügbare Breiten