Wird geladen ...
Druckschrift
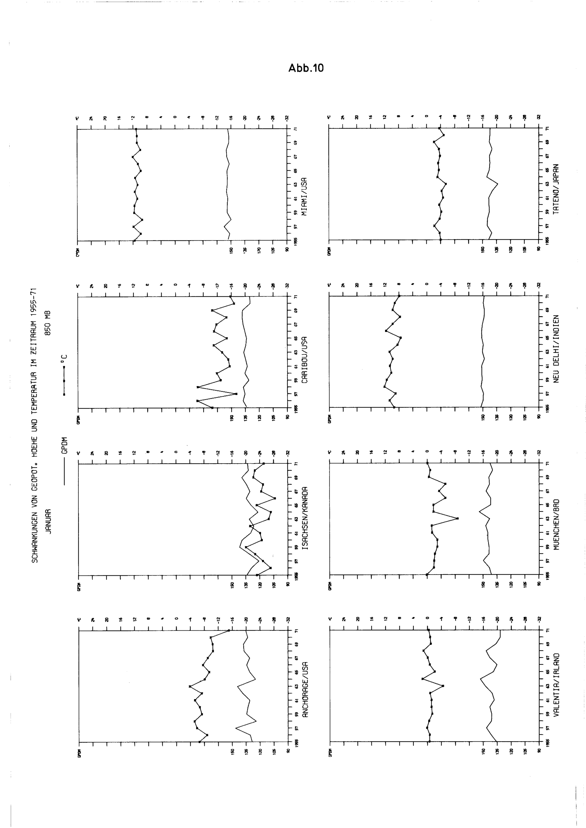
Aeroklimakarten der Druckflächen bis 10-mBar und Vertikalprofile für den Raum Nordatlantik, Europa, Naher Osten : mittlere Windvektoren, Mittel- und Streuungswerte von geopotentieller Höhe und Temperatur / Hans Guss
Entstehung
Offenbach a. M. 1975
Seite
23
Einzelbild herunterladen
verfügbare Breiten