Wird geladen ...
Druckschrift
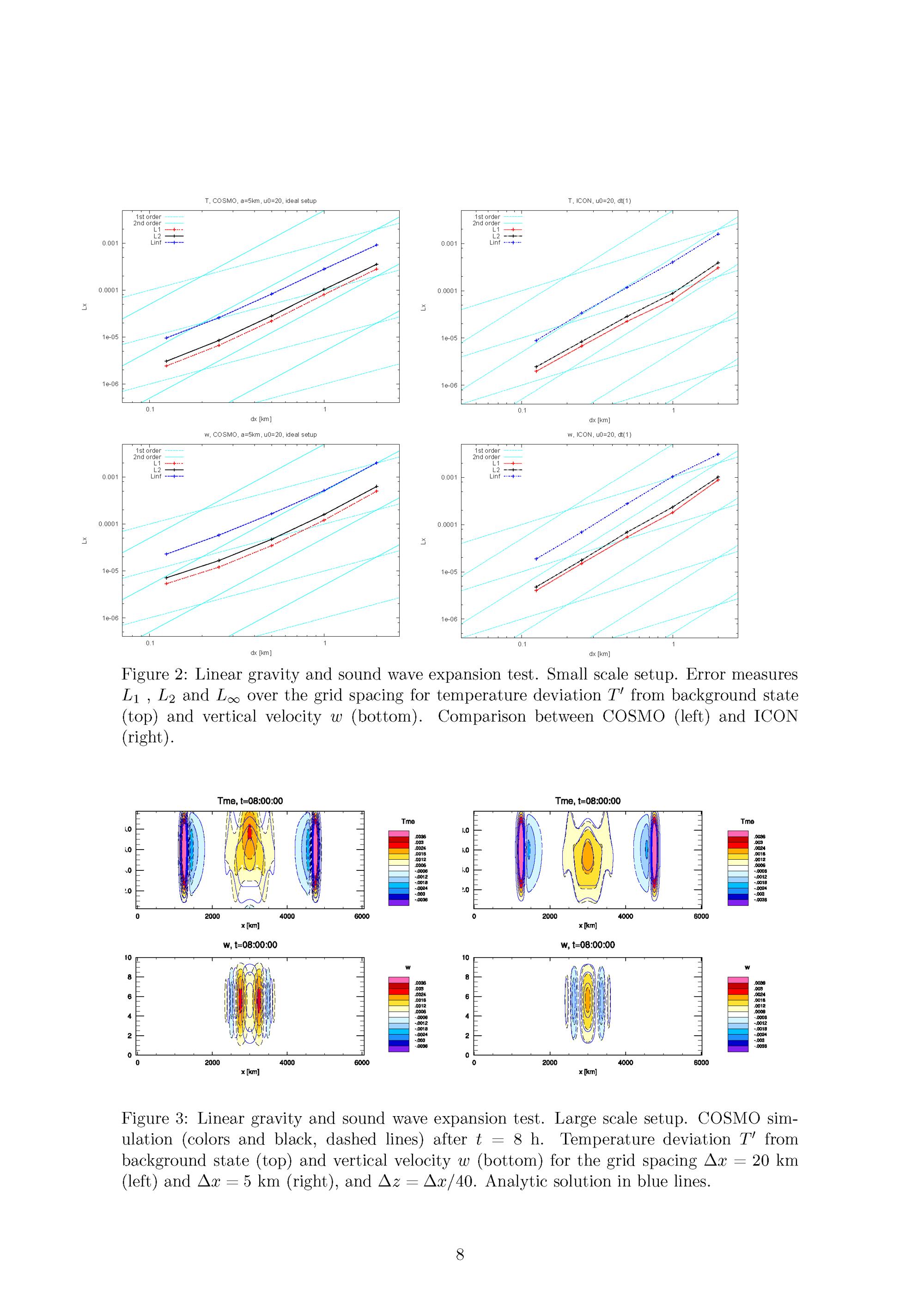
The COSMO Priority Project CDIC : comparison of the dynamical cores of ICON and COSMO ; final Report / Deutscher Wetterdienst ; Michael Baldauf , Damian Wojcik, Florian Prill, Daniel Reinert, Rodica Dumitrache, Amalia Iriza, Guy deMorsier, Marina Shatunova, Günther Zängl , Ulrich Schättler
Entstehung
[Erscheinungsort nicht ermittelbar] October 2021
Seite
8
Einzelbild herunterladen
verfügbare Breiten