Startseite
Sammlungen
Listen
Clouds
Kontakt
METLIS+
DWD
EN
RSS
Datenschutz
Barriere melden
Startseite
Sammlungen
Listen
Clouds
EN
Titel
Titel
Inhalt
Inhalt
Übersicht
Thumbs
Seite
Seite
Im Jahrgang suchen
Bundesrepublik Deutschland
1987
V. Ergebnisse der aerologischen Aufstiege
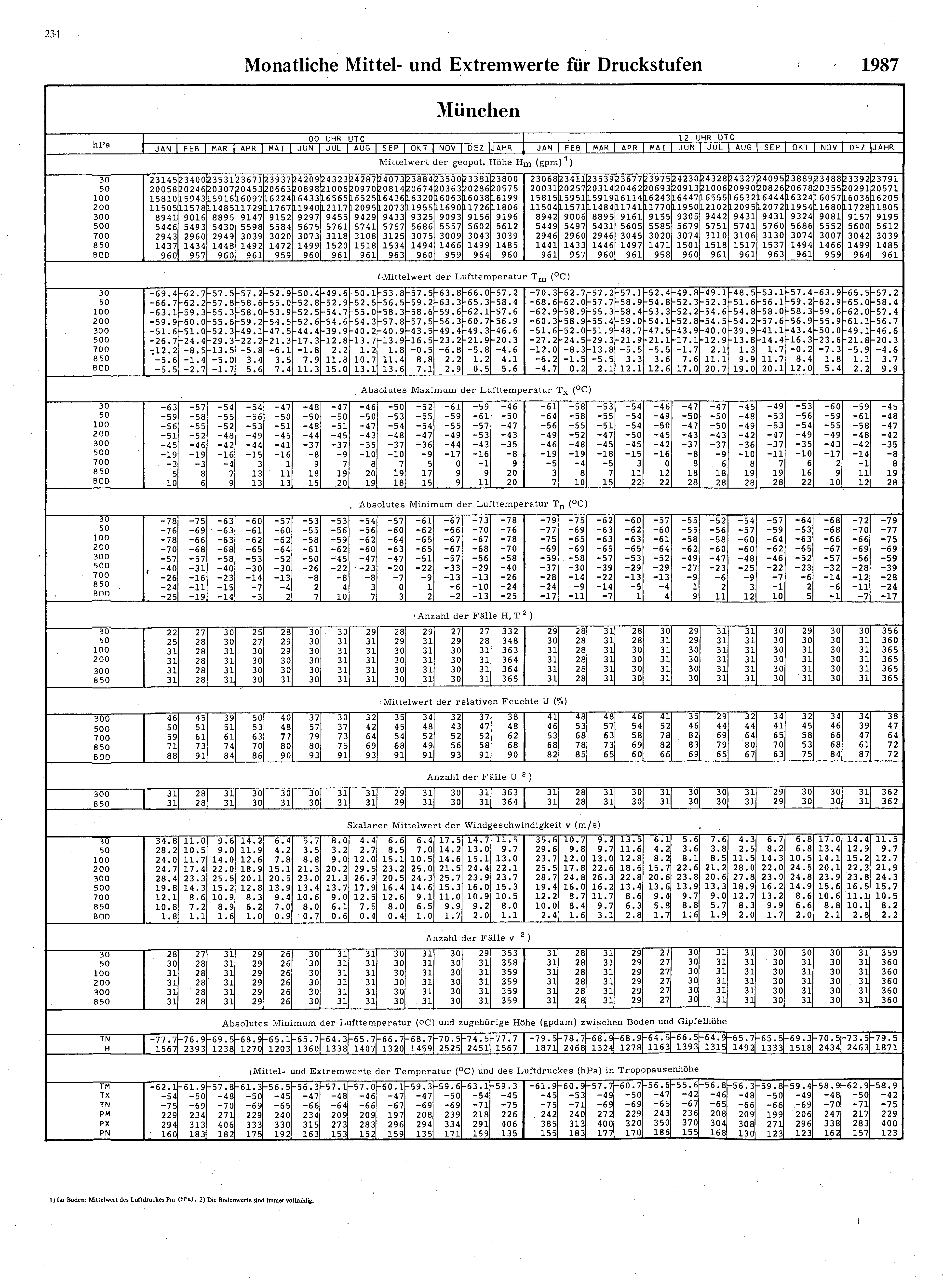
Monatliche Mittel-und Extremwerte für Druckstufen
Wird geladen ...
Wird geladen ...
Jahrgang
1987
Seite
234
Rechtsdrehung 90°
Linksdrehung 90°
Einzelbild herunterladen
verfügbare Breiten
JPEG klein
JPEG groß
JPEG größer
Gehe zu Seite
[1]
[2]
[3] II
[4] III
[4] III
[5] IV
[6] V
[7] VI
[8] VII
[9] VIII
[10] IX
[11] X
[12] XI
[13] XII
[14] XIII
[15] XIV
[16] XV
[17] XVI
[18] XVII
[19] XVIII
[20] XIX
[21] XX
[22] XXI
[23] XXII
[24] XXIII
[25] XXIV
[26] XXV
[27] XXVI
[28] XXVII
[29] XXVIII
[30] XXIX
[31] XXX
[32] XXXI
[33] XXXII
[34] XXXIII
[35] XXXIV
[36] XXXV
[37] XXXVI
[38] XXXVII
[39] XXXVIII
[40] 1
[41] 2
[42] 3
[43] 4
[44] 5
[45] 6
[46] 7
[47] 10
[48] 11
[49] 12
[50] 13
[51] 14
[52] 15
[53] 16
[54] 17
[55] 18
[56] 19
[57] 20
[58] 21
[59] 22
[60] 23
[61] 24
[62] 25
[63] 26
[64] 27
[65] 28
[66] 29
[67] 30
[68] 31
[69] 32
[70] 33
[71] 34
[72] 35
[73] 36
[74] 37
[75] 38
[76] 39
[77] 40
[78] 41
[79] 42
[80] 43
[81] 44
[82] 45
[83] 46
[84] 47
[85] 48
[86] 49
[87] 50
[88] 51
[89] 52
[90] 53
[91] 54
[92] 55
[93] 56
[94] 57
[95] 58
[96] 59
[97] 60
[98] 61
[99] 62
[100] 63
[101] 64
[102] 65
[103] 66
[104] 67
[105] 68
[106] 69
[107] 70
[108] 71
[109] 72
[110] 73
[111] 74
[112] 75
[113] 76
[114] 77
[115] 78
[116] 79
[117] 80
[118] 81
[119] 82
[120] 83
[121] 84
[122] 85
[123] 86
[124] 87
[125] 88
[126] 89
[127] 90
[128] 91
[129] 92
[130] 93
[131] 94
[132] 95
[133] 96
[134] 97
[135] 98
[136] 99
[137] 100
[138] 101
[139] 102
[140] 103
[141] 104
[142] 105
[143] 106
[144] 107
[145] 108
[146] 109
[147] 110
[148] 111
[149] 112
[150] 113
[151] 114
[152] 115
[153] 116
[154] 117
[155] 118
[156] 119
[157] 120
[158] 121
[159] 122
[160] 123
[161] 124
[162] 125
[163] 126
[164] 127
[165] 128
[166] 129
[167] 130
[168] 131
[169] 132
[170] 133
[171] 134
[172] 135
[173] 136
[174] 137
[175] 138
[176] 139
[177] 140
[178] 141
[179] 142
[180] 143
[181] 144
[182] 145
[183] 146
[184] 147
[185] 148
[186] 149
[187] 150
[188] 151
[189] 152
[190] 153
[191] 154
[192] 155
[193] 156
[194] 157
[195] 158
[196] 159
[197] 160
[198] 161
[199] 162
[200] 163
[201] 164
[202] 165
[203] 166
[204] 167
[205] 168
[206] 169
[207] 170
[208] 171
[209] 172
[210] 173
[211] 174
[212] 175
[213] 176
[214] 177
[215] 178
[216] 179
[217] 180
[218] 181
[219] 182
[220] 183
[221] 184
[222] 185
[223] 186
[224] 187
[225] 188
[226] 189
[227] 190
[228] 191
[229] 192
[230] 193
[231] 194
[232] 195
[233] 196
[234] 197
[235] 198
[236] 199
[237] 200
[238] 201
[239] 202
[240] 203
[241] 204
[242] 205
[243] 206
[244] 207
[245] 208
[246] 209
[247] 210
[248] 211
[249] 212
[250] 213
[251] 214
[252] 215
[253] 216
[254] 217
[255] 218
[256] 219
[257] 220
[258] 221
[259] 222
[260] 223
[261] 224
[262] 225
[263] 226
[264] 227
[265] 228
[266] 229
[267] 230
[268] 231
[269] 232
[270] 233
[271] 234
[272] 235
[273] 236
[274] 237
[275] 238
[276] 239
[277] 240
[278] 241
[279] 242
[280] 243
[281] 244
[282] 245
[283] 246
[284] 247
[285] 248
[286] 249
[287] 250
[288] 251
[289] 252