Startseite
Sammlungen
Listen
Clouds
Kontakt
METLIS+
DWD
EN
RSS
Datenschutz
Barriere melden
Startseite
Sammlungen
Listen
Clouds
EN
Titel
Titel
Inhalt
Inhalt
Übersicht
Thumbs
Seite
Seite
Deutsches Reich Beobachtungen der Observatorien und aus dem Bereich der Deutschen...
1935
Teil IV, Heft 2
Registrierungen
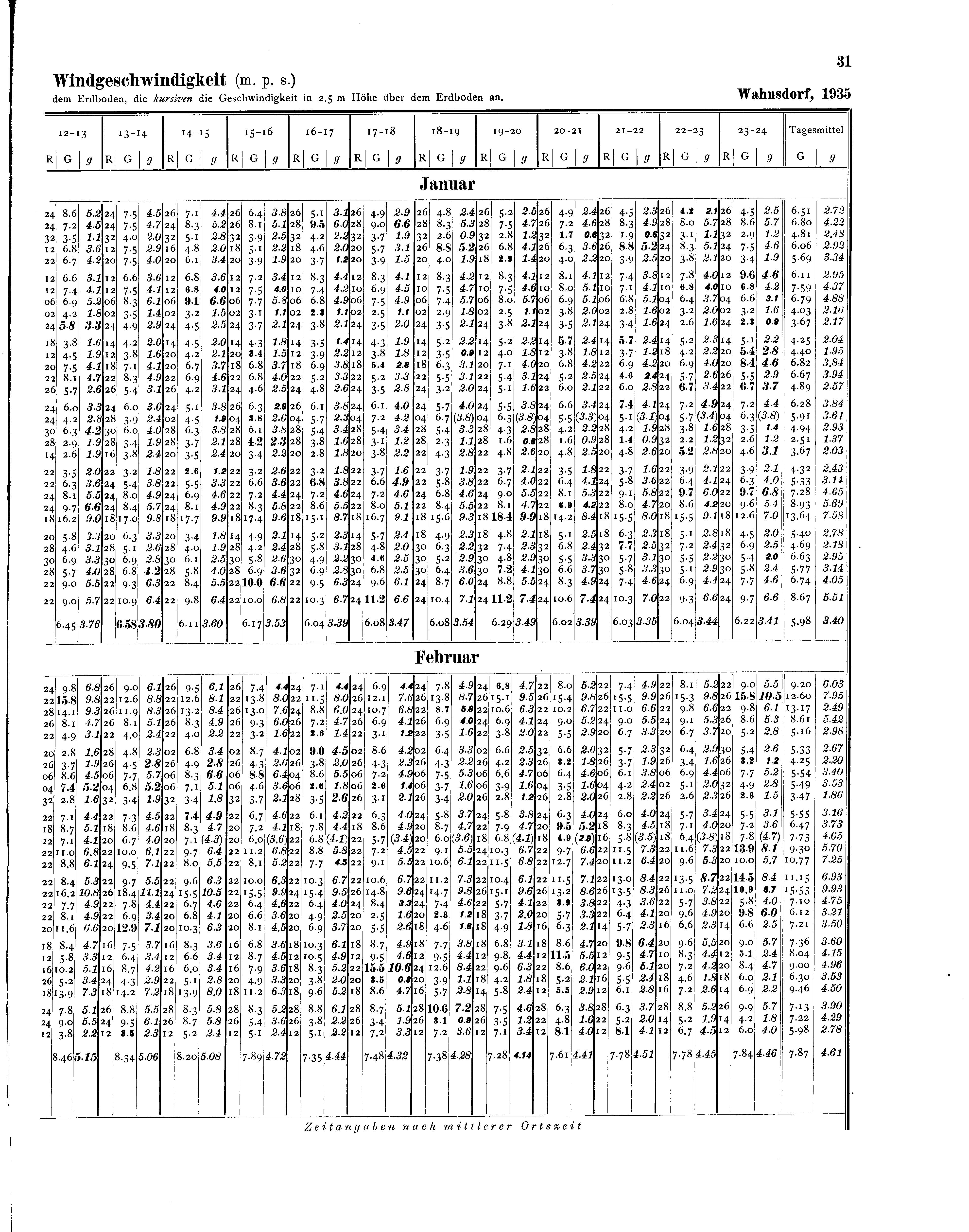
Windrichtung und -geschwindigkeit
PDF
1934
PDF
83
1935
Gesamtinhaltsverzeichnis
PDF
Teil IV, Heft 1
PDF
83
Teil IV, Heft 2
84
Inhaltsverzeichnis
III
Einleitung
1
Registrierungen
1
Luftdruck
7
Lufttemperatur
13
Dampfdruck
19
Relative Feuchtigkeit
25
Sonnenscheindauer
30
Windrichtung und -geschwindigkeit
42
Abkühlungsgröße
48
Sonstige Beobachtungen
48
Bodentemperaturen
54
Intensität der Sonnenstrahlung
62
Luftelektrisches Potentialgefälle
68
Luftelektrische Leitfähigkeit
PDF
Teil IV, Heft 3
PDF
Teil IV, Heft 4
PDF
1936
PDF
1937
Wird geladen ...
Heft
1935 Teil IV, Heft 2
Seite
31
Rechtsdrehung 90°
Linksdrehung 90°
Einzelbild herunterladen
verfügbare Breiten
JPEG klein
JPEG groß
JPEG größer
Gehe zu Seite
[1] 83
[2] 84
[3] III
[4] IV
[5] 1
[5] 1
[6] 2
[7] 3
[8] 4
[9] 5
[10] 6
[11] 7
[12] 8
[13] 9
[14] 10
[15] 11
[16] 12
[17] 13
[18] 14
[19] 15
[20] 16
[21] 17
[22] 18
[23] 19
[24] 20
[25] 21
[26] 22
[27] 23
[28] 24
[29] 25
[30] 26
[31] 27
[32] 28
[33] 29
[34] 30
[35] 31
[36] 32
[37] 33
[38] 34
[39] 35
[40] 36
[41] 37
[42] 38
[43] 39
[44] 40
[45] 41
[46] 42
[47] 43
[48] 44
[49] 45
[50] 46
[51] 47
[52] 48
[52] 48
[53] 49
[54] 50
[55] 51
[56] 52
[57] 53
[58] 54
[59] 55
[60] 56
[61] 57
[62] 58
[63] 59
[64] 60
[65] 61
[66] 62
[67] 63
[68] 64
[69] 65
[70] 66
[71] 67
[72] 68
[73] 69
[74] 70
[75] 71
[76] 72
[77] 73
[78] 74
[79] 75
[80] 76
[81] 77
[82] 78
[83] 79
[84] 80