Startseite
Sammlungen
Listen
Clouds
Kontakt
METLIS+
DWD
EN
RSS
Datenschutz
Barriere melden
Startseite
Sammlungen
Listen
Clouds
EN
Titel
Titel
Inhalt
Inhalt
Übersicht
Thumbs
Seite
Seite
Im Teil des Werkes suchen
Württemberg
1916-1918
1916
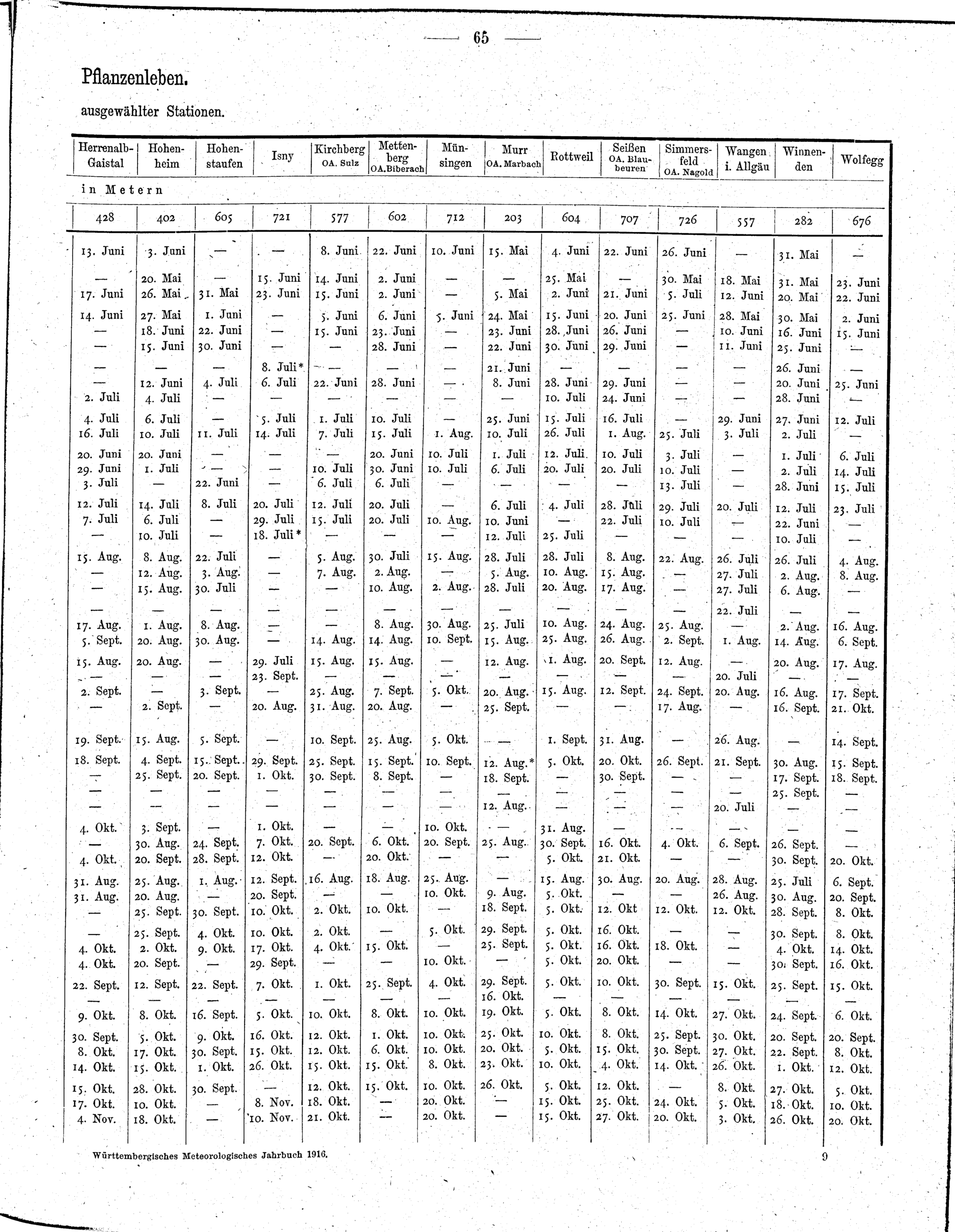
Vorkommnisse im Pflanzenleben an 22 Beobachtungsorten
Wird geladen ...
Wird geladen ...
Jahrgang
1916 - 1918
Seite
65
Rechtsdrehung 90°
Linksdrehung 90°
Einzelbild herunterladen
verfügbare Breiten
JPEG klein
JPEG groß
JPEG größer
Gehe zu Seite
[1] 9
[2] 10
[3] 11
[4] 12
[5] 13
[6] 14
[7] 15
[8] 16
[9] 17
[10] 18
[11] 19
[12] 20
[13] 21
[14] 23
[15] 24
[16] 25
[17] 26
[18] 27
[19] 28
[20] 29
[21] 30
[22] 31
[23] 32
[24] 33
[25] 34
[26] 35
[27] 22
[28] 36
[29] 37
[29] 37
[30] 38
[31] 39
[32] 40
[33] 41
[34] 42
[35] 43
[36] 44
[37] 45
[38] 46
[39] 47
[40] 48
[41] 49
[41] 49
[42] 50
[43] 51
[44] 52
[45] 53
[46] 54
[47] 55
[48] 56
[49] 57
[49] 57
[50] 58
[50] 58
[51] 59
[52] 60
[52] 60
[53] 61
[54] 62
[55] 63
[56] 64
[57] 65
[58] 66