Wird geladen ...
Druckschrift
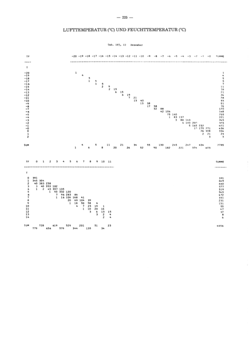
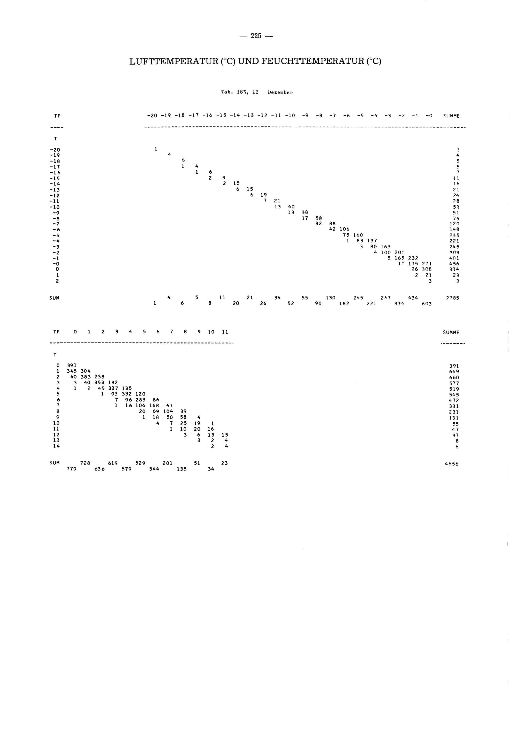
Das Klima ausgewählter Orte der Bundesrepublik Deutschland : Hannover ; statistische Auswertungen u. Erläuterungen für Zwecke d. angewandten Klimatologie ; (mit 135 Tabellen) / von Margret Kalb u. Helmut Schmidt
Entstehung
Offenbach (Main) 1977
Seite
225
Einzelbild herunterladen
verfügbare Breiten