Wird geladen ...
Druckschrift
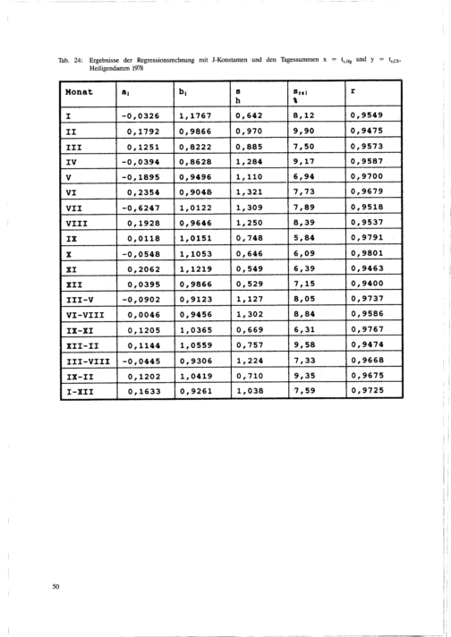
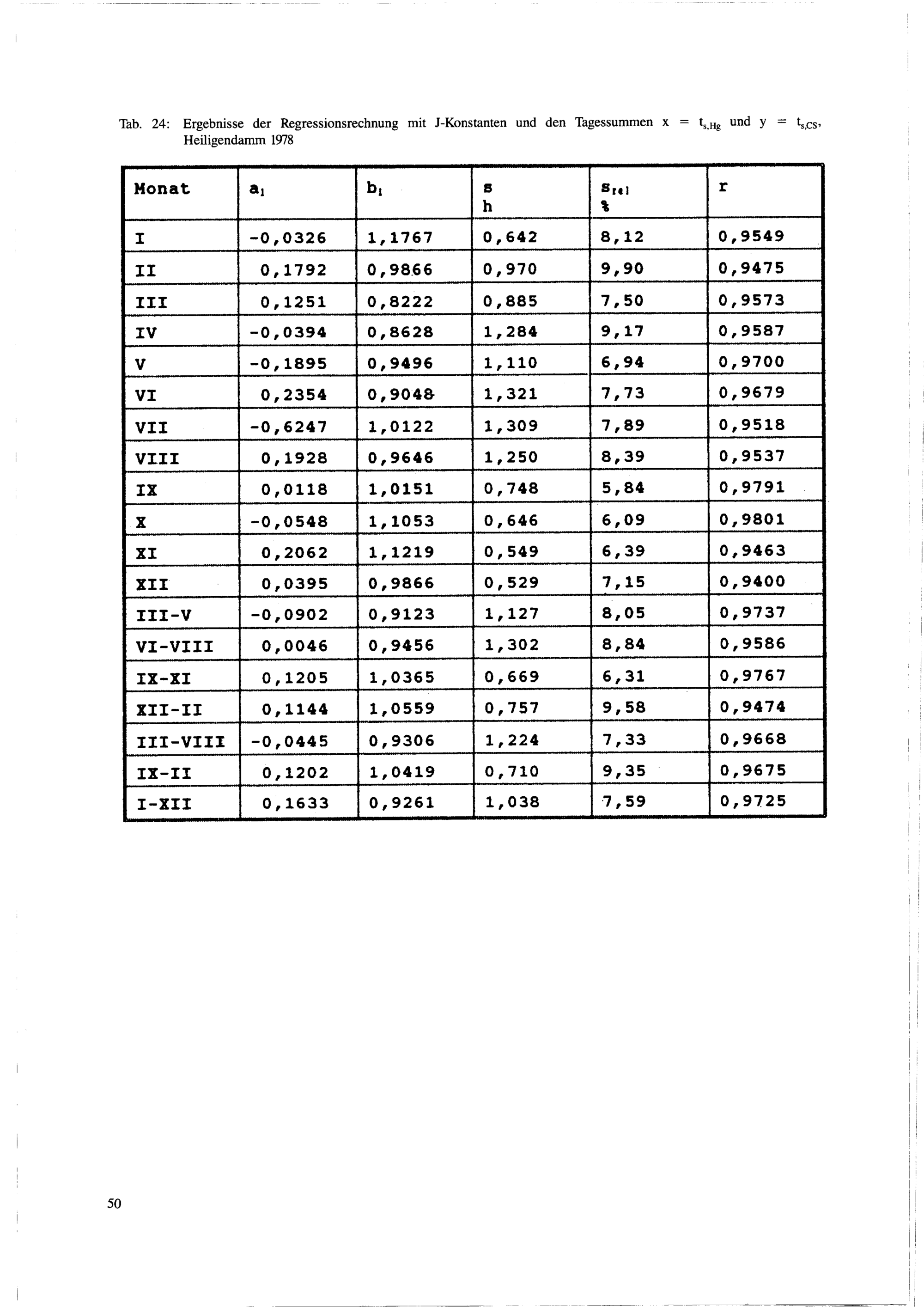
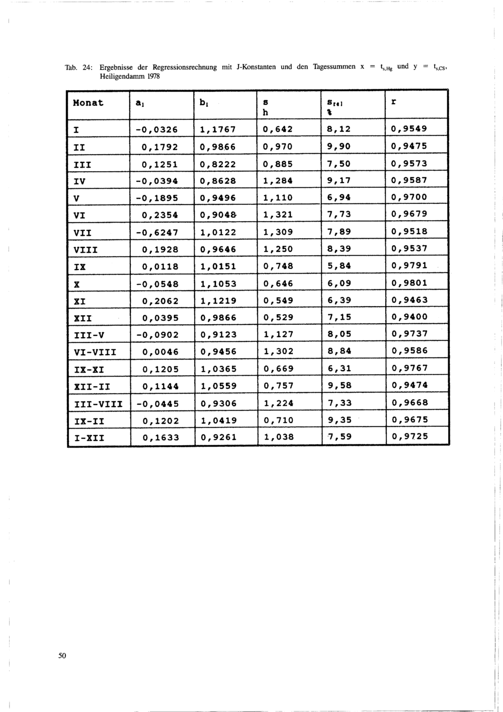
Ermittlung der Sonnenscheindauer aus pyranometrisch gemessenen Bestrahlungsstärken der Global- und Himmelsstrahlung : mit 42 Tabelllen / von Dietrich Sonntag u. Klaus Behrens
Entstehung
Offenbach am Main 1992
Seite
50
Einzelbild herunterladen
verfügbare Breiten