Startseite
Sammlungen
Listen
Clouds
Kontakt
METLIS+
DWD
EN
RSS
Datenschutz
Barriere melden
Startseite
Sammlungen
Listen
Clouds
EN
Titel
Titel
Inhalt
Inhalt
Übersicht
Thumbs
Seite
Seite
Im Dokument suchen
Feuchte Deposition auf Nadelwälder in den Hochlagen der Mittelgebirge
6. Vertikalgradienten in der chemischen Zusammensetzung des Wolkenwassers
6.1. Die chemische Zusammensetzung des Wolkenwassers: Messungen im Harz in drei verschiedenen...
6.1.3. Höhenabhängigkeit der Spurenstoffkonzentration des Wolkenwassers: Zwei Fa...
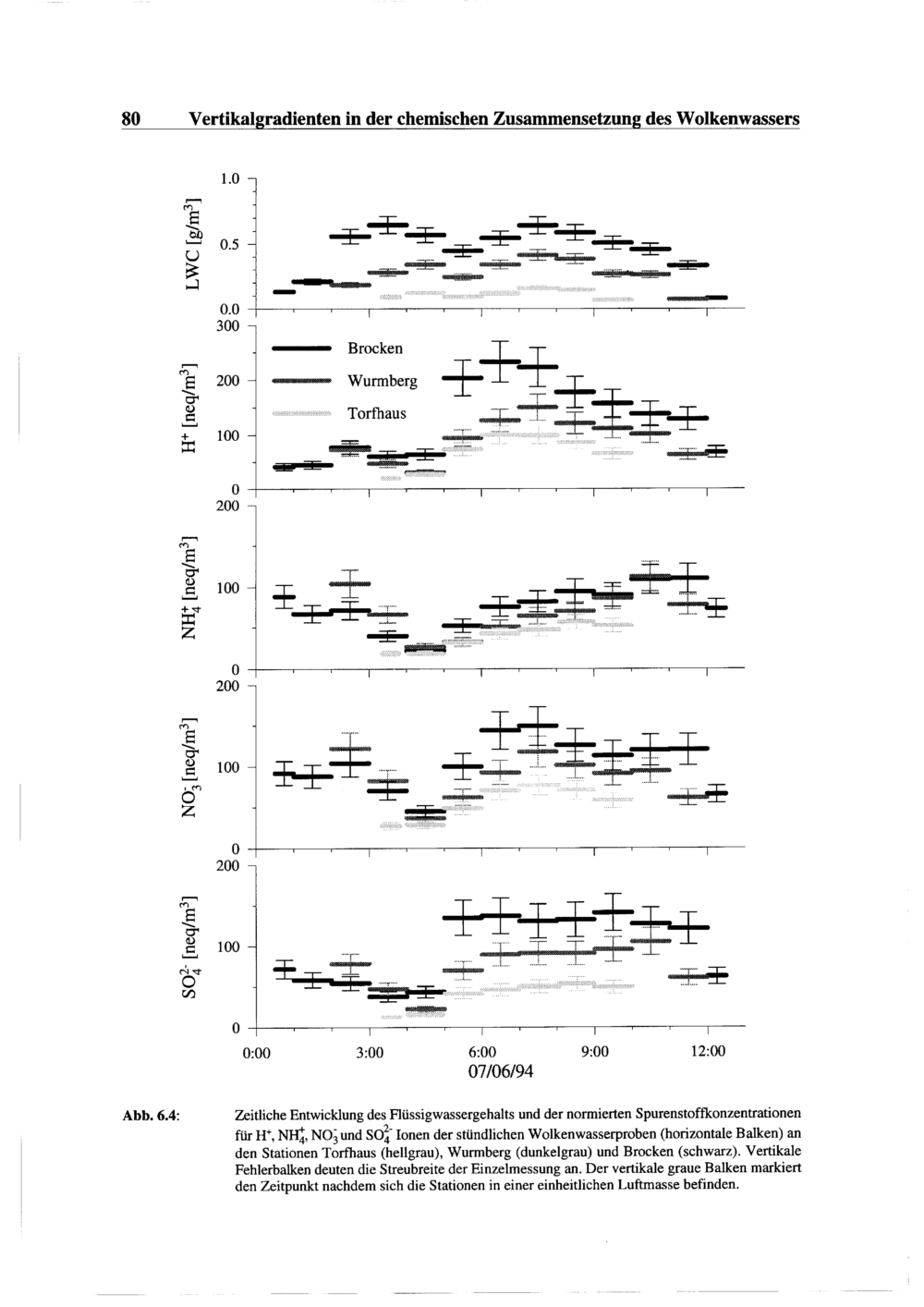
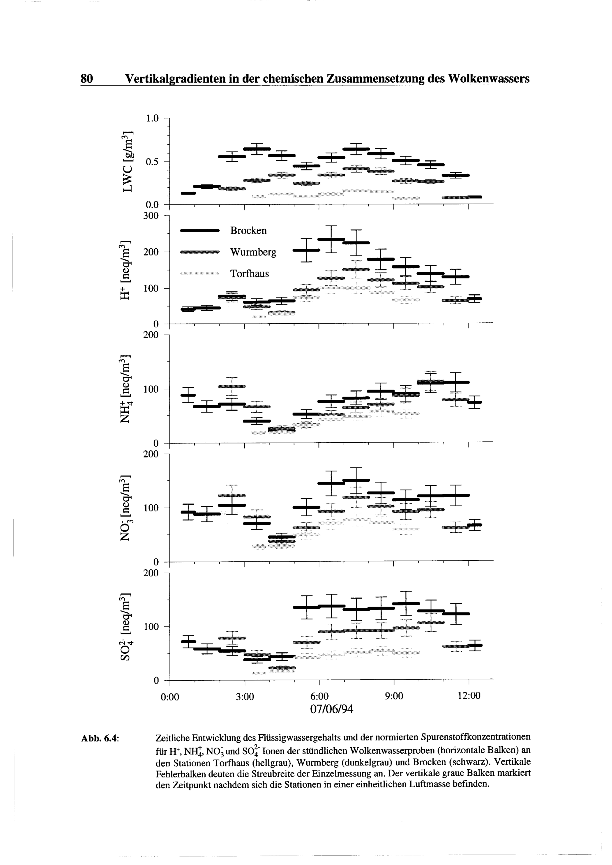
6.1.3.1. Fallstudie 1: Wolkenereignis am 07/06/94
Wird geladen ...
Wird geladen ...
Druckschrift
Feuchte Deposition auf Nadelwälder in den Hochlagen der Mittelgebirge / von Silke Pahl
Entstehung
Offenbach am Main
1996
Seite
80
Rechtsdrehung 90°
Linksdrehung 90°
Einzelbild herunterladen
verfügbare Breiten
JPEG klein
JPEG groß
JPEG größer
Gehe zu Seite
[1]
[2]
[3] I
[4] II
[5] III
[6] 1
[7] 2
[8] 3
[9] 4
[10] 5
[11] 6
[12] 7
[13] 8
[14] 9
[15] 10
[16] 11
[17] 12
[17] 12
[18] 13
[19] 14
[20] 15
[21] 16
[22] 17
[23] 18
[24] 19
[25] 20
[26] 21
[27] 22
[28] 23
[29] 24
[30] 25
[31] 26
[32] 27
[33] 28
[34] 29
[35] 30
[36] 31
[37] 32
[38] 33
[39] 34
[40] 35
[41] 36
[42] 37
[43] 38
[44] 39
[45] 40
[46] 41
[47] 42
[48] 43
[48] 43
[49] 44
[49] 44
[50] 45
[51] 46
[52] 47
[53] 48
[54] 49
[55] 50
[56] 51
[57] 52
[58] 53
[59] 54
[60] 55
[61] 56
[62] 57
[63] 58
[64] 59
[65] 60
[66] 61
[67] 62
[68] 63
[69] 64
[70] 65
[71] 66
[72] 67
[73] 68
[74] 69
[75] 70
[75] 70
[76] 71
[77] 72
[78] 73
[79] 74
[80] 75
[81] 76
[82] 77
[83] 78
[84] 79
[85] 80
[86] 81
[87] 82
[88] 83
[89] 84
[90] 85
[91] 86
[91] 86
[92] 87
[92] 87
[93] 88
[94] 89
[95] 90
[96] 91
[97] 92
[98] 93
[99] 94
[100] 95
[101] 96
[102] 97
[103] 98
[104] 99
[105] 100
[106] 101
[107] 102
[108] 103
[109] 104
[110] 105
[111] 106
[112] 107
[113] 108
[114] 109
[115] 110
[116] 111
[117] 112
[118] 113
[119] 114
[120] 115
[121] 116
[122] 117
[123] 118
[124] 119
[125] 120
[126] 121
[127] 122
[128] 123
[129] 124
[130] 125
[131] 126
[132] 127
[133] 128
[134] 129
[135] 130
[136] 131
[137] 132
[138] 133
[139] 134
[140] 135
[141] 136
[142] 137