Wird geladen ...
Druckschrift
23. Internationale Tagung für Alpine Meteorologie : vom 5. bis 9. September 1994 in Lindau / [Hrsg.: Deutscher Wetterdienst, Zentralamt]
Entstehung
Offenbach am Main 1994
Seite
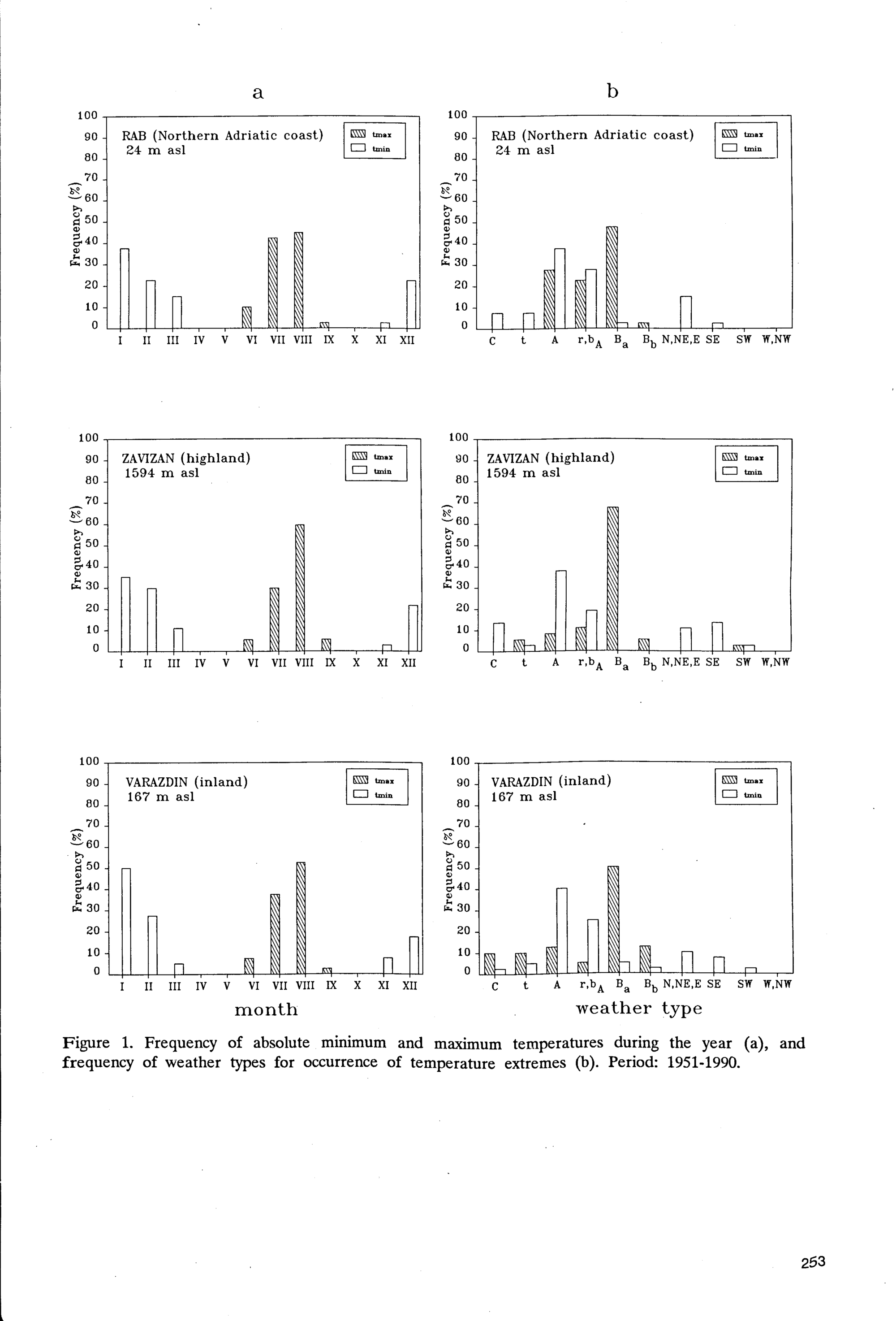
253
Einzelbild herunterladen
verfügbare Breiten