Startseite
Sammlungen
Listen
Clouds
Kontakt
METLIS+
DWD
EN
RSS
Datenschutz
Barriere melden
Startseite
Sammlungen
Listen
Clouds
EN
Titel
Titel
Inhalt
Inhalt
Übersicht
Thumbs
Seite
Seite
Im Jahrgang suchen
Deutsches meteorologisches Jahrbuch
1943
Monats- und Jahresübersichten
PDF
1934
PDF
1935
PDF
1936
PDF
1937
PDF
1938
PDF
1939
PDF
1940
PDF
1941
PDF
1942
PDF
1943
II
Inhaltsverzeichnis
II
Einleitung
III
Verzeichnis der Stationen
1
Monats- und Jahresübersichten
1
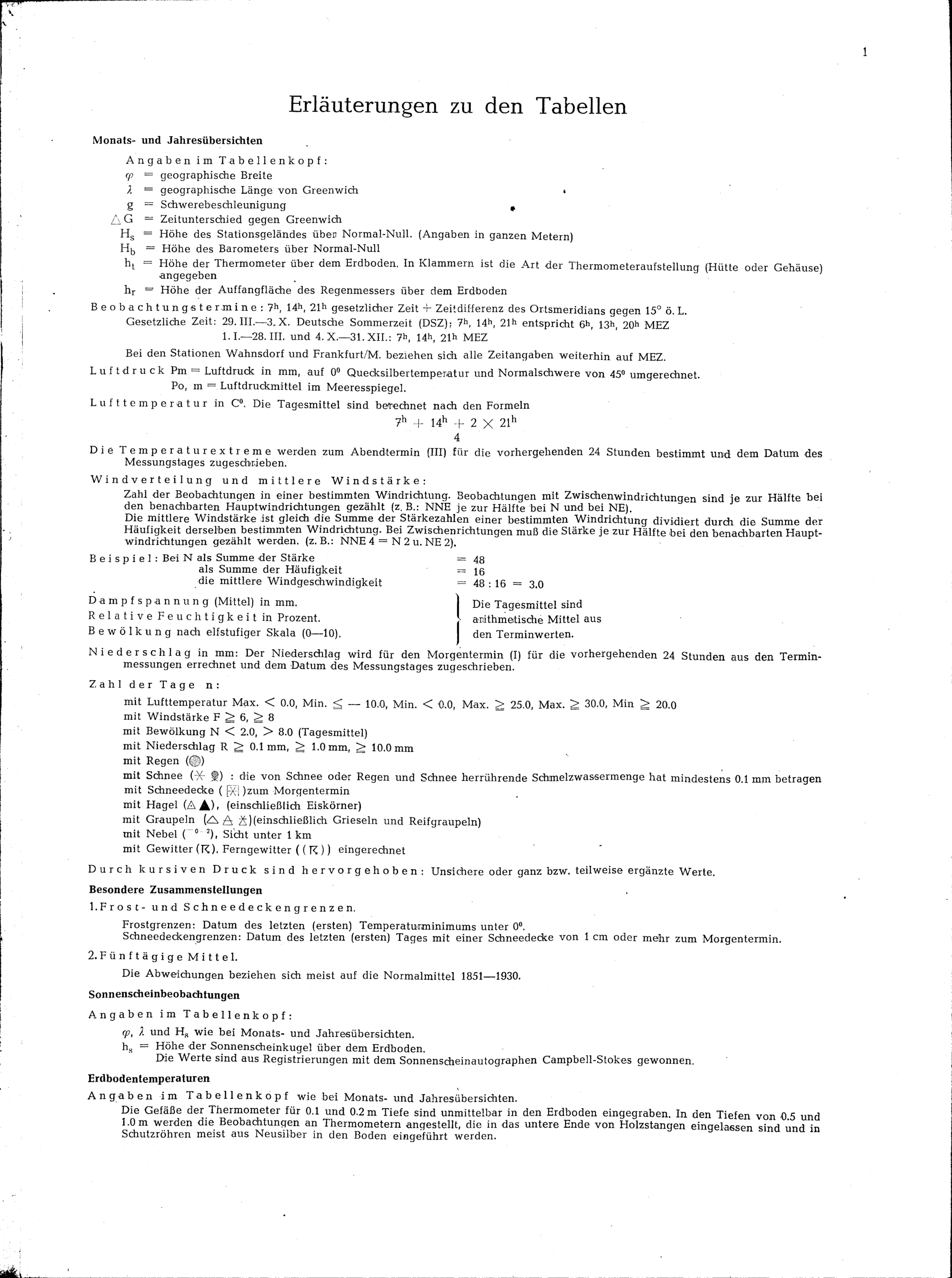
Erläuterungen
2
II. Ordnung
58
III. Ordnung
100
Besondere Zusammenstellungen
100
Frost- und Schneedeckengrenzen
102
Fünftägige Mittel
111
Sonnenscheinbeobachtungen
111
Monats- und Jahresübersichten
118
Täglicher Gang nach wahrer Zeit
123
Erdbodentemperaturen
128
Berichtigungen
129
Anlage : Stationskarte 1 : 2 500 000
PDF
1944
Wird geladen ...
Jahrgang
1943
Seite
1
Rechtsdrehung 90°
Linksdrehung 90°
Einzelbild herunterladen
verfügbare Breiten
JPEG klein
JPEG groß
JPEG größer
Gehe zu Seite
[1]
[2] II
[2] II
[3] III
[4] IV
[5] V
[6] VI
[7] VII
[8] VIII
[9] IX
[10] X
[11] XI
[12] XII
[13] 1
[13] 1
[14] 2
[15] 3
[16] 4
[17] 5
[18] 6
[19] 7
[20] 8
[21] 9
[22] 10
[23] 11
[24] 12
[25] 13
[26] 14
[27] 15
[28] 16
[29] 17
[30] 18
[31] 19
[32] 20
[33] 21
[34] 22
[35] 23
[36] 24
[37] 25
[38] 26
[39] 27
[40] 28
[41] 29
[42] 30
[43] 31
[44] 32
[45] 33
[46] 34
[47] 35
[48] 36
[49] 37
[50] 38
[51] 39
[52] 40
[53] 41
[54] 42
[55] 43
[56] 44
[57] 45
[58] 46
[59] 47
[60] 48
[61] 49
[62] 50
[63] 51
[64] 52
[65] 53
[66] 54
[67] 55
[68] 56
[69] 57
[70] 58
[71] 59
[72] 60
[73] 61
[74] 62
[75] 63
[76] 64
[77] 65
[78] 66
[79] 67
[80] 68
[81] 69
[82] 70
[83] 71
[84] 72
[85] 73
[86] 74
[87] 75
[88] 76
[89] 77
[90] 78
[91] 79
[92] 80
[93] 81
[94] 82
[95] 83
[96] 84
[97] 85
[98] 86
[99] 87
[100] 88
[101] 89
[102] 90
[103] 91
[104] 92
[105] 93
[106] 94
[107] 95
[108] 96
[109] 97
[110] 98
[111] 99
[112] 100
[112] 100
[113] 101
[114] 102
[115] 103
[116] 104
[117] 105
[118] 106
[119] 107
[120] 108
[121] 109
[122] 110
[123] 111
[123] 111
[124] 112
[125] 113
[126] 114
[127] 115
[128] 116
[129] 117
[130] 118
[131] 119
[132] 120
[133] 121
[134] 122
[135] 123
[136] 124
[137] 125
[138] 126
[139] 127
[140] 128
[141] 129